BelNET logo

Электронный портал ядерных знаний Республики Беларусь

Belarusian Nuclear Education and Training Portal - BelNET

eng

rus

Материал портала ядерных знаний BelNET
статья/документ по запросу ресурса "81"
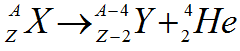
Альфа-распад

Самопроизвольный процесс испускания ядрами α-частицы (ядра гелия ), в результате которого массовое число А уменьшается на 4, а заряд ядра уменьшается на 2.

Например, в результате α-распада ядро радия преобразуется в ядра радона

Загрузить:
1.png580image/png2015-04-28 13:38:47
2.png1648image/png2015-04-28 13:38:56
3.png940image/png2015-04-28 13:39:04
4.png909image/png2015-04-28 13:39:26
5.png65721image/png2015-04-28 13:39:37
альфа-распад.pdf74243application/pdf2015-06-10 12:57:55
Вход, регистрация